哈工大马欲飞课题组实现基于超密集光斑多通池的光致热弹光谱超高灵敏度气体检测
哈工大全媒体(商艳凯 孙晓镕/文 课题组/图)近日,我校航天学院马欲飞教授课题组实现基于超密集光斑多通池的光致热弹光谱超高灵敏度气体检测,相关研究成果以《一种基于多目标算法设计的超密集光斑多通池的超高灵敏度光致热弹光谱传感器》(An ultra-highly sensitive LITES sensor based on multi-pass cell with ultra-dense spot pattern designed by multi-objective algorithm)为题发表于《智汇光学》(PhotoniX)。
光致热弹光谱技术(light-induced thermoelastic spectroscopy, LITES)凭借高检测灵敏度、快速响应及优异选择性等核心优势,在环境监测、火灾预警、医疗诊断等领域展现出重要的应用价值。提升LITES传感器探测性能的核心路径之一是增加激光在待测气体中的吸收光程,光斑密集型多通池因具有结构简单、稳定性强、反射次数多等特点,成为研制短基长、长光程多通池的理想方案。然而,光斑密集型多通池的设计面临多参数优化难题,传统网格搜索算法在处理此类多参数优化问题时,存在耗时冗长、设计成本高昂的缺陷,成为制约该类多通池高效研发与工程化落地的瓶颈。

PNSGA-II算法设计的五种光斑密集型多通池光斑图案(理论仿真与实物对比)
针对上述挑战,课题组首次提出将“并行非支配排序遗传算法”(Parallel Non-dominated Sorting Genetic Algorithm-II, PNSGA-II)与光斑密集型多通池数学模型相结合的解决方案,设计兼具长光程与高光程体积比的高性能多通池。该研究基于矢量形式的光反射定律构建数学模型,精准表征多通池的光程、光程体积比及光斑分布特征,并以“光程最大化”与“光程体积比最大化”为目标,通过设定合理的参数约束范围与迭代条件,利用PNSGA-II算法完成多通池参数寻优,最终获得适配不同应用场景的5种差异化光斑图案多通池(分别为六同心环、二十三圆环、十六圆环、十五圆环、花朵光斑)。性能测试表明,五种多通池的光程体积比均突破20cm-2,其中十五圆环光斑图案多通池的光程达到80m以上;与商用相关型号的赫里奥特(Herriott)多通池相比,十五圆环光斑图案多通池的光程提升约8倍,光程体积比提升约15倍,充分验证了该优化设计方案的优越性。

商用石英音叉与自主设计的圆形头石英音叉对比:a. 商用石英音叉(QTF1)与圆形头石英音叉(QTF2)的实物图;b. 商用石英音叉与圆形头石英音叉的共振频率图;c. 商用石英音叉的导纳特性曲线;d. 圆形头石英音叉的导纳特性曲线。

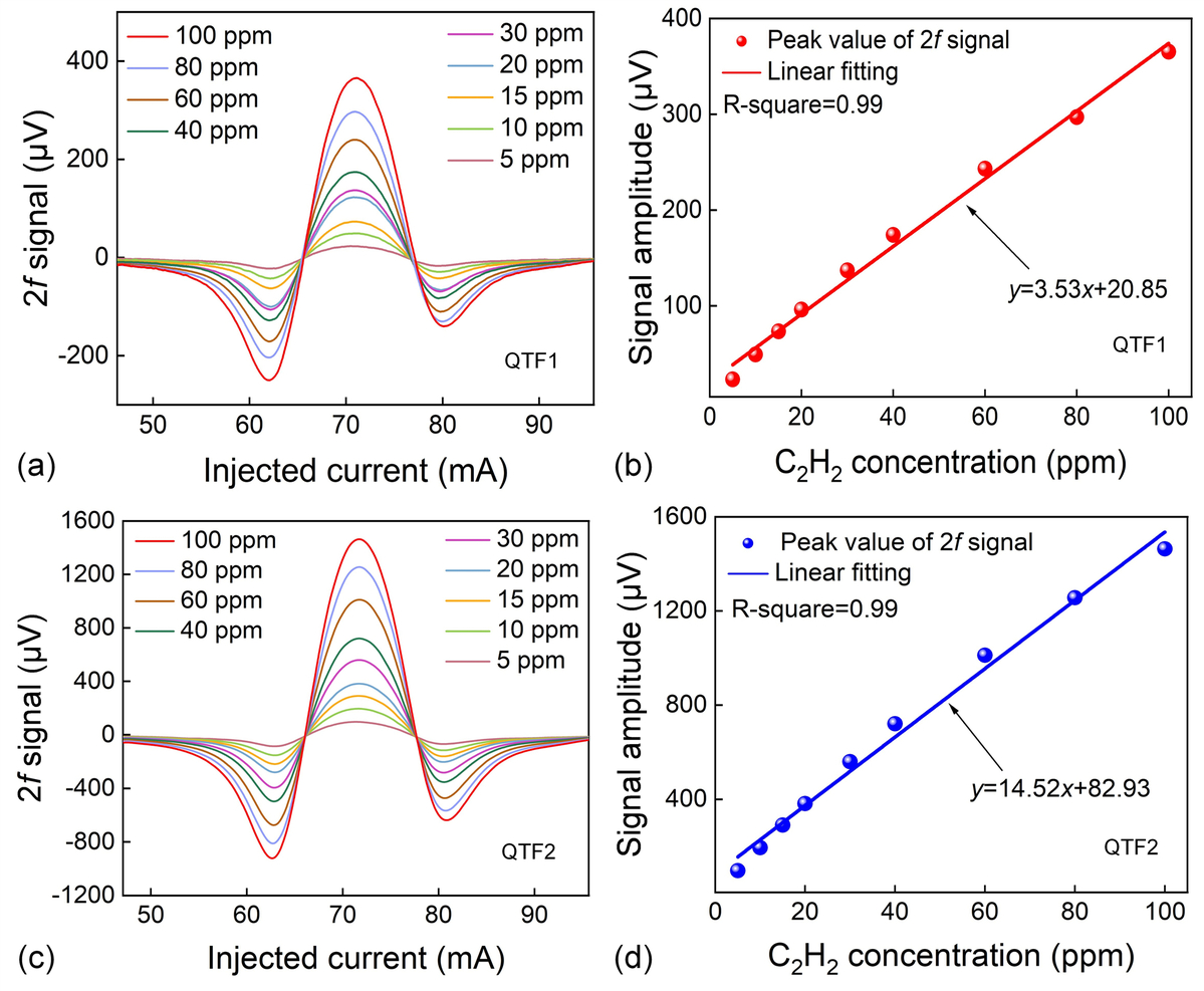
基于商用石英音叉(QTF1)和圆形头石英音叉(QTF2)的C2H2-LITES传感性能测设:a.不同C2H2浓度下2f信号峰值(QTF1);b.浓度线性响应(QTF1);c.不同C2H2浓度下2f信号峰值(QTF2);d.浓度线性响应(QTF2)。
同时,针对LITES系统中商用石英音叉存在共振频率偏高、信号响应微弱的不足,课题组自主设计了圆形头低频石英音叉。通过圆头结构优化,该器件的整体重心得到合理调控,振动过程中的力矩显著增加,有效提升了电荷产生率,加之其更低的共振频率能够延长能量积累时间,进一步增强了信号输出幅度。实验数据显示,与传统商用石英音叉相比,定制化圆形头石英音叉可使LITES系统信号幅度提升约4倍,信噪比提升约3倍。该研究通过“多目标优化算法设计高性能多通池”与“定制化低频石英音叉”的协同创新,实现了LITES系统的吸收增强与探测增强双重目标,为提升激光气体传感技术灵敏度提供了全新的技术路径与解决方案。
哈工大为论文唯一通讯单位,马欲飞为论文第一作者和通讯作者,课题组硕士研究生孙晓镕为论文第二作者,课题组博士研究生孙海岳、副教授何应、副研究员乔顺达对论文发表作出重要贡献。该研究获国家自然科学基金重点项目及哈工大青年科学家工作室等项目资助。
论文链接:
https://photonix.springeropen.com/articles/10.1186/s43074-025-00187-2
