哈工大丁子敬教授课题组发现穿透对流中存在热量输运的经典标度率
哈工大全媒体(阚思邈 丁子敬/文 丁子敬/图)近日,我校能源科学与工程学院丁子敬教授课题组通过研究具有最优热量输运能力的定常对流结构发现穿透对流中存在热量输运的经典标度率。相关研究成果以《寻找穿透对流的经典标度律》(Touching the classical scaling in penetrative convection)为题发表在《美国国家科学院院刊》(Proceedings of the National Academy of Sciences of the United States of America,简称PNAS)上。
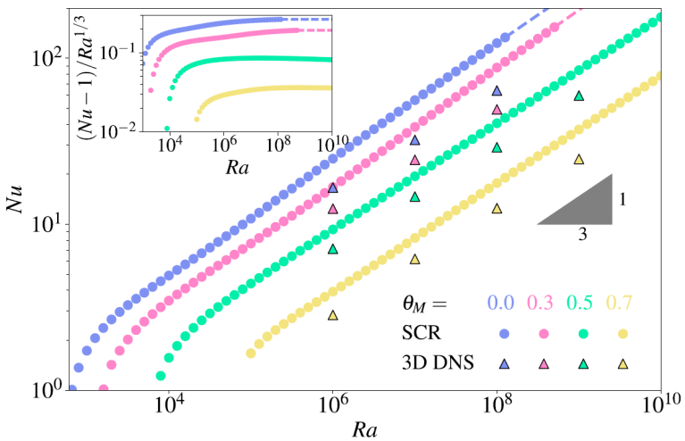
穿透对流广泛存在于较大尺度的自然现象中,如大气环流和海洋环流等。对流现象的标度率研究在对流的研究和建模中有着重要意义。美国著名地球物理学家乔治·维罗尼斯(George Veronis)于1963年猜想穿透对流中存在热量输运的经典标度率,即热流量与瑞利(Rayleigh)数之间具有1/3的标度关系。然而,在过去的60余年间,受限于实验室尺度和计算能力,这一标度率从未被确认过。


基于穿透对流的热量输运最优定常解发现穿透对流中的经典标度率并揭示其与土卫二虎纹结构的潜在联系
上图来源于美国航空航天局(NASA)
针对这一问题,丁子敬教授课题组基于动力系统理论开发出了一套高效的定常解求解器,克服了解决该类问题需要极大计算量的难点,求解了高参数下穿透对流中具有最优热量输运能力的定常对流结构,并首次发现了穿透对流中存在热量输运的经典标度率。课题组进一步发现土卫二上的虎纹结构中存在区域集中的异常热流,且其热流强度十分接近于乔治·维罗尼斯的猜想。该工作为星球尺度量级的穿透对流中的经典标度率提供了进一步证据,并为解释土卫二上虎纹结构的形成与维持提供了新的研究方向。
哈工大为论文第一完成单位,丁子敬教授为论文唯一通讯作者,课题组博士研究生欧阳臻为论文第一作者。该研究获国家自然科学基金项目支持。
论文链接:
https://www.pnas.org/doi/10.1073/pnas.2418468122
