哈工大马欲飞课题组实现基于超薄完美吸收体镀层音叉的光致热弹光谱超高灵敏度气体检测
哈工大全媒体(商艳凯 王润秋/文 课题组/图)近日,我校航天学院马欲飞教授课题组实现基于完美吸收体镀层音叉的光致热弹光谱高灵敏度气体检测。相关研究成果以《基于镀有三层超薄完美吸收体的T型石英音叉的超高灵敏度光热弹光谱传感器 》(Ultrahigh sensitive LITES sensor based on a trilayer ultrathin perfect absorber coated T-head quartz tuning fork)为题发表于《激光与光子学评论》(Laser & Photonics Reviews)。

镀膜结构的制备与表征:(a)三层膜结构示意图;(b)镀膜反射率、吸收率和透过率的理论值;(c)镀膜反射率、吸收率和透过率的实测值;(d)镀膜流程示意图;(e)SEM截面图
光致热弹光谱技术(light-induced thermoelastic spectroscopy, 简称LITES)具有气体选择性好、检测灵敏度高、响应速度快等优点,在环境监测、火灾预警、医学诊断等领域中具有重要的应用价值。石英音叉作为传感器系统中的核心探测单元,对系统的检测性能起到关键作用。然而,石英对1至5微米(μm)波长范围内的激光透过率高而吸收率低,无法有效利用入射激光能量,导致光热弹电转换效率较低,阻碍了LITES传感器检测能力的进一步提升。
针对上述问题,课题组成员基于导纳匹配原理的简化理论框架,在T型石英音叉表面无电极覆盖位置设计了三层超薄完美吸收体。该吸收体具有较好的稳定性和可重复性,将石英音叉对1530纳米近红外光的吸收率从不足10%提升到93%,大大增加了光热弹电转换效率和检测灵敏度。相比标准石英音叉,镀膜T型石英音叉信噪比提升了6.90倍。同时研究人员将40米光纤耦合多通池和掺铒光纤放大器集成到LITES传感系统中,增加了目标气体对激光的吸收和激光功率,实现了超高灵敏度乙炔检测。

镀膜石英音叉:(a)标准石英音叉(左)和T型石英音叉(右);(b)镀膜T型石英音叉;(c)镀膜结构的显微镜图像

镀膜T型音叉性能提升效果:(a)标准音叉、T型音叉和镀膜T型音叉的2f信号对比;(b)-(d)三者的噪声;(e)5个月后标准音叉和镀膜T型音叉的2f信号对比;(f)(g)5个月后标准音叉和镀膜T型音叉的噪声

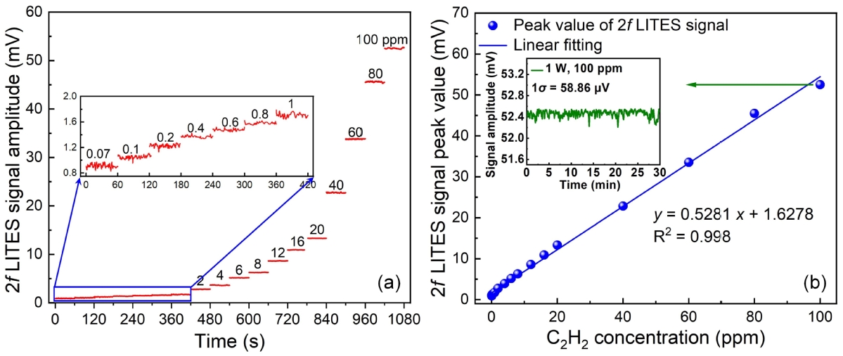
基于镀膜T型音叉的C2H2-LITES传感性能测试: (a)不同C2H2浓度下2f信号峰值;(b)浓度线性响应
哈工大为论文第一完成单位。马欲飞教授、中国科学院上海技术物理研究所王少伟教授为论文共同通讯作者,航天学院博士研究生王润秋为论文第一作者。中国科学院上海技术物理研究所博士研究生关学昱、贾奇祥,航天学院何应副教授、乔顺达副研究员参与相关研究工作或提供论文指导。
该研究获国家自然科学基金重点项目及哈工大青年科学家工作室等项目资助。
论文链接:
https://onlinelibrary.wiley.com/doi/full/10.1002/lpor.202402107
